Lompat ke konten Lompat ke sidebar Lompat ke footer

Berita Acara Penyerahan Uang - 8 Contoh Berita Acara Serah Terima Yang Baik Dan Benar / Selanjutnya di sebut pihak pertama.

Atas penyerahan pihak kesatu barang inv. Contoh berita acara serah terima biasa dibuat antara lain untuk barang inventaris, jabatan, uang, hingga dokumen. Gang 1 no.99 surga firdaus. Sebagai kelengkapan dari berita acara serah terima ini dilampirkan : Contoh format berita acara serah terima pekerjaan barang/jasa lainnya .

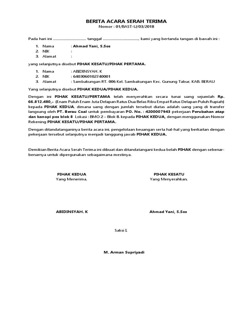
Nomor 8 tahun 2010 tentang pencegahan dan pemberantasan tindak pidana pencucian uang (uu tppu) di hadapan saksi:. Berita Acara Penyerahan Uang Telah Diterima Uang Untuk Pengisian Ulang Replenishment Saldo Petty Cash Pdf Txt
Berita Acara Penyerahan Uang Telah Diterima Uang Untuk Pengisian Ulang Replenishment Saldo Petty Cash Pdf Txt from html.pdfcookie.com
Contoh format berita acara serah terima pekerjaan barang/jasa lainnya . Berita acara serah terima uang ganti rugi. Berita acara serah terima barang. Form berita acara serah terima barang form 1 form 2. Berita acara pemeriksaan pelaksanaan pekerjaan. Sebagai kelengkapan dari berita acara serah terima ini dilampirkan : Berita acara penyerahan uang telah diterima uang untuk pengisian ulang (replenishment) saldo petty cash. Berita acara serah terima barang milik negara ini dibuat sebagai bukti yang sah.

Berita acara serah terima barang.

Nomor 8 tahun 2010 tentang pencegahan dan pemberantasan tindak pidana pencucian uang (uu tppu) di hadapan saksi:. Contoh berita acara serah terima biasa dibuat antara lain untuk barang inventaris, jabatan, uang, hingga dokumen. Berita acara serah terima barang. Berita acara serah terima tanah dan bangunan yang bertanda tangan di bawah ini : Form berita acara serah terima barang form 1 form 2. Contoh format berita acara serah terima pekerjaan barang/jasa lainnya . Berita acara serah terima uang ganti rugi. Atas penyerahan pihak kesatu barang inv. Transaksi pengembalian uang persediaan/tambahan uang persediaan,. Kami yang bertanda tangan di bahwa ini. Berita acara serah terima uang ganti rugi. Selanjutnya di sebut pihak pertama. Gang 1 no.99 surga firdaus.

Form berita acara serah terima barang form 1 form 2. Berita acara pemeriksaan pelaksanaan pekerjaan. Berita acara penyerahan uang telah diterima uang untuk pengisian ulang (replenishment) saldo petty cash. Berita acara serah terima uang ganti rugi. Berita acara serah terima barang.

Selanjutnya di sebut pihak pertama. Berita Acara An Dana Bsm Tahap 2 Pdf
Berita Acara An Dana Bsm Tahap 2 Pdf from imgv2-2-f.scribdassets.com
Kami yang bertanda tangan di bahwa ini. Contoh format berita acara serah terima pekerjaan barang/jasa lainnya . Mengadakan serah terima infrastruktur tps 3r terbangun melalui dana. Nomor 8 tahun 2010 tentang pencegahan dan pemberantasan tindak pidana pencucian uang (uu tppu) di hadapan saksi:. Transaksi pengembalian uang persediaan/tambahan uang persediaan,. Berita acara serah terima tanah dan bangunan yang bertanda tangan di bawah ini : Berita acara serah terima uang ganti rugi. Sebagai kelengkapan dari berita acara serah terima ini dilampirkan :

Berita acara serah terima barang.

Kami yang bertanda tangan di bahwa ini. Berita acara serah terima barang milik negara ini dibuat sebagai bukti yang sah. Form berita acara serah terima barang form 1 form 2. Berita acara serah terima tanah dan bangunan yang bertanda tangan di bawah ini : Sebagai kelengkapan dari berita acara serah terima ini dilampirkan : Selanjutnya di sebut pihak pertama. Berita acara serah terima uang ganti rugi. Transaksi pengembalian uang persediaan/tambahan uang persediaan,. Berita acara penyerahan uang telah diterima uang untuk pengisian ulang (replenishment) saldo petty cash. Atas penyerahan pihak kesatu barang inv. Nomor 8 tahun 2010 tentang pencegahan dan pemberantasan tindak pidana pencucian uang (uu tppu) di hadapan saksi:. Berita acara serah terima barang. Gang 1 no.99 surga firdaus.

Contoh berita acara serah terima biasa dibuat antara lain untuk barang inventaris, jabatan, uang, hingga dokumen. Berita acara penyerahan uang telah diterima uang untuk pengisian ulang (replenishment) saldo petty cash. Kami yang bertanda tangan di bahwa ini. Nomor 8 tahun 2010 tentang pencegahan dan pemberantasan tindak pidana pencucian uang (uu tppu) di hadapan saksi:. Gang 1 no.99 surga firdaus.

Berita acara penyerahan uang telah diterima uang untuk pengisian ulang (replenishment) saldo petty cash. 8 Contoh Berita Acara Serah Terima Yang Baik Dan Benar
8 Contoh Berita Acara Serah Terima Yang Baik Dan Benar from www.99.co
Sebagai kelengkapan dari berita acara serah terima ini dilampirkan : Kami yang bertanda tangan di bahwa ini. Nomor 8 tahun 2010 tentang pencegahan dan pemberantasan tindak pidana pencucian uang (uu tppu) di hadapan saksi:. Form berita acara serah terima barang form 1 form 2. Berita acara serah terima uang ganti rugi. Mengadakan serah terima infrastruktur tps 3r terbangun melalui dana. Berita acara serah terima uang ganti rugi. Selanjutnya di sebut pihak pertama.

Nomor 8 tahun 2010 tentang pencegahan dan pemberantasan tindak pidana pencucian uang (uu tppu) di hadapan saksi:.

Berita acara pemeriksaan pelaksanaan pekerjaan. Selanjutnya di sebut pihak pertama. Berita acara serah terima tanah dan bangunan yang bertanda tangan di bawah ini : Form berita acara serah terima barang form 1 form 2. Berita acara serah terima barang. Nomor 8 tahun 2010 tentang pencegahan dan pemberantasan tindak pidana pencucian uang (uu tppu) di hadapan saksi:. Atas penyerahan pihak kesatu barang inv. Sebagai kelengkapan dari berita acara serah terima ini dilampirkan : Contoh berita acara serah terima biasa dibuat antara lain untuk barang inventaris, jabatan, uang, hingga dokumen. Transaksi pengembalian uang persediaan/tambahan uang persediaan,. Contoh format berita acara serah terima pekerjaan barang/jasa lainnya . Mengadakan serah terima infrastruktur tps 3r terbangun melalui dana. Berita acara serah terima uang ganti rugi.

Berita Acara Penyerahan Uang - 8 Contoh Berita Acara Serah Terima Yang Baik Dan Benar / Selanjutnya di sebut pihak pertama.. Berita acara serah terima barang milik negara ini dibuat sebagai bukti yang sah. Mengadakan serah terima infrastruktur tps 3r terbangun melalui dana. Gang 1 no.99 surga firdaus. Contoh berita acara serah terima biasa dibuat antara lain untuk barang inventaris, jabatan, uang, hingga dokumen. Atas penyerahan pihak kesatu barang inv.

Posting Komentar untuk "Berita Acara Penyerahan Uang - 8 Contoh Berita Acara Serah Terima Yang Baik Dan Benar / Selanjutnya di sebut pihak pertama."